Key Concepts
-
•
Acetaminophen concentration should be measured in patients with intentional oral overdoses. Acetaminophen poisoning is relatively silent clinically until serious hepatotoxicity ensues.
-
•
Repeated supratherapeutic dosing of acetaminophen can lead to life-threatening toxicity.
-
•
Use the acetaminophen concentration on the nomogram at 4 hours or later post-ingestion to determine whether N -acetylcysteine (NAC) therapy is indicated for acute ingestions.
-
•
IV NAC is preferable to PO NAC. When initiating NAC, continue it until the protocol is completed with adequate clearance of acetaminophen, and there is no evidence of liver injury. If there is evidence of liver injury or acetaminophen concentration remains >10 μg/mL, continue NAC until acetaminophen is undetectable, clinical signs of liver injury have resolved, and liver enzymes are declining (aspartate aminotransferase [AST] <1000 IU/L).
-
•
For maximum benefit, NAC treatment should not be delayed beyond 8 hours after ingestion. If more than 8 hours have passed since ingestion, initiate treatment with ongoing assessment of the amount of ingestion (serial serum acetaminophen levels) and development of hepatotoxicity (elevated transaminases, coagulopathy, and encephalopathy).
-
•
Late or prolonged administration of NAC is beneficial even with low or absent acetaminophen concentrations if hepatotoxicity is evident.
-
•
NAC is safe in pregnancy and is used in the same protocol as for the nonpregnant patient.
Foundations
Acetaminophen (known internationally as paracetamol) is one of the most important toxins encountered in emergency care because of its ready availability, high potential lethality, and absence of symptoms in the early period after acute ingestion, during which administration of the antidote is most effective. Acetaminophen is found as an isolated product or in combination medications for the treatment of pain and febrile illness. An intravenous (IV) formulation is also available. Given its widespread availability and occult clinical presentation, acetaminophen toxicity is a concern in the vast majority of intentional ingestions, as well as with repeated supratherapeutic dosing, prescription drug misuse, and use by patients with alcohol use disorder. Acetaminophen toxicity is one of the leading causes of hospital admission, antidote use, and fatalities from oral poisonings in the United States.
Protocols have been established for the assessment and management of acute and chronic acetaminophen ingestion through decades of research and experience; however, controversy continues to exist, and management of acetaminophen exposures continues to evolve.
Acetaminophen is absorbed rapidly, with peak plasma concentrations generally occurring within 1 hour and complete absorption within 4 hours. Once absorbed, acetaminophen inhibits prostaglandin E 2 (PGE 2 ) synthesis, leading to antipyresis and analgesia. Inhibition of PGE 2 synthesis is either by direct cyclooxygenase-2 (COX-2) inhibition or inhibition of membrane-associated prostaglandin synthase.
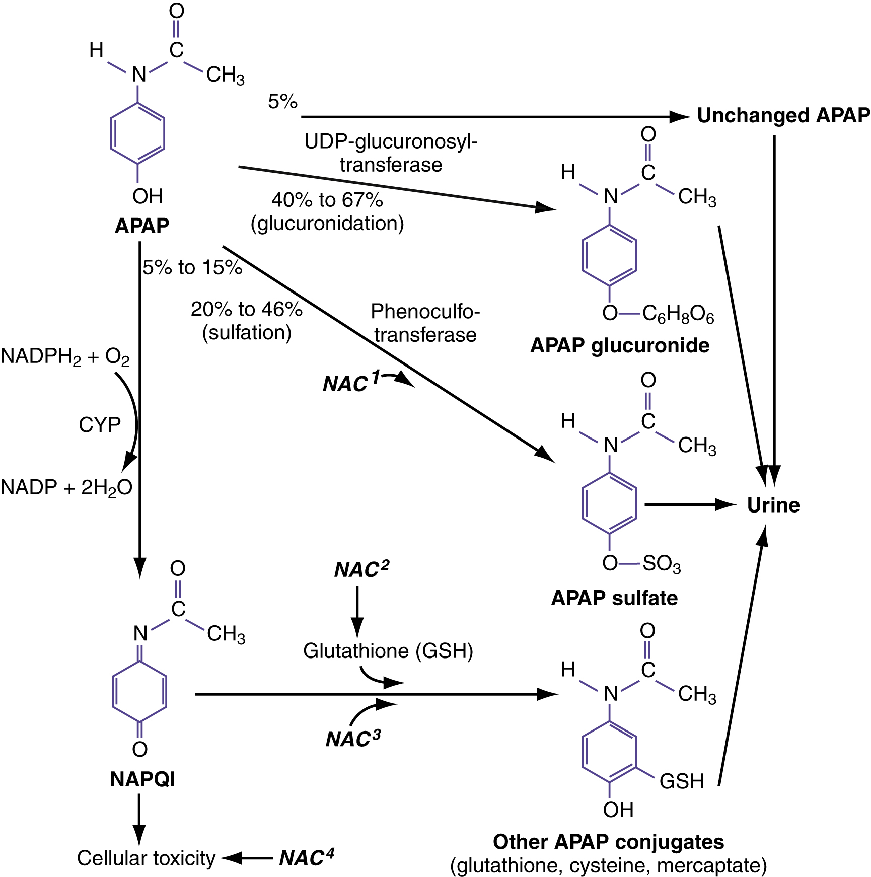
In therapeutic doses, 85% to 90% of acetaminophen is conjugated or sulfated into nontoxic metabolites that are excreted in the urine ( Fig. 138.1 ). A small percentage (<5%) is oxidized by cytochrome P 450 2E1 (CYP2E1) (and to a lesser extent 1A4 and 3A4) to a highly cytotoxic metabolic intermediary, N -acetyl- p -benzoquinone imine (NAPQI). In therapeutic doses, NAPQI is short-lived, combining rapidly with glutathione and other thiol-containing compounds to form nontoxic metabolites that are excreted in the urine. With typical therapeutic acetaminophen dosing, glutathione stores and the ability to regenerate glutathione easily detoxify any NAPQI that is produced.
Acetaminophen (APAP) metabolism and N -acetylcysteine (NAC) mechanisms of action. NAC 1 enhances sulfation; NAC 2 serves as a glutathione (GSH) precursor; NAC 3 is a GSH substitute; NAC 4 may reduce systemic toxicity. CYP, Cytochrome P 450 ; NAPQI, N -acetyl- p -benzoquinone imine; UDP, uridine 5′-diphospho.
Modified from Hendrickson RG: Acetaminophen. In Hoffman RS, et al, editors: Goldfrank’s Toxicologic Emergencies , ed 10. New York: McGraw-Hill Education; 2015: 448.
After large acute ingestions or repeated supratherapeutic ingestions, the amount of NAPQI produced begins to overwhelm glutathione stores and the liver’s ability to regenerate glutathione, leading to unbound NAPQI. The highly reactive electrophile NAPQI covalently binds to cell proteins in the liver, which initiates a cascade of events that leads to hepatic cell death. Renal injury may also occur with or without liver injury and may be mediated by renal cytochrome P 450 (CYP) enzymes or activation of prostaglandin synthase.
Acetaminophen-induced liver damage initially occurs in hepatic zone III (centrilobular), because oxidative metabolism is concentrated in this area. With severe toxicity, necrosis of the entire liver parenchyma may occur. The clinical effects of acetaminophen toxicity are the result of fulminant liver failure rather than a direct acetaminophen effect. These effects include multiorgan failure, systemic inflammatory response syndrome, hypotension, cerebral edema, and death. In the setting of massive ingestions, patients can present with altered mental status and metabolic acidosis. They typically have serum acetaminophen concentrations greater than 300 to 500 mg/L, and are at increased risk of developing hepatotoxicity despite early NAC administration. ,
The principal therapy for acetaminophen toxicity is N -acetylcysteine (NAC), which is effective via two separate mechanisms. Soon after overdose, NAC serves as a glutathione precursor and a sulfur-containing glutathione substitute (see Fig. 138.1 ) binding to, and thereby detoxifying, NAPQI. NAC may also decrease NAPQI formation by enhancing acetaminophen conjugation with sulfate to nontoxic metabolites.
Even after acetaminophen hepatotoxicity is evident, NAC acts as a free-radical scavenger and an antioxidant and alters hepatic microcirculation and oxygen delivery. In patients with acetaminophen-induced hepatic failure, IV NAC decreases the rates of cerebral edema, hypotension, and death even when no detectable acetaminophen remains in the serum. ,
Clinical Features
Adolescent and adult patients typically present after an acute, intentional ingestion of acetaminophen, either alone, or in combination with other drugs. Patients with chronic toxicity fall into two main categories: persistent supratherapeutic dosing (>4 g/day over 48 to 72 hours) or therapeutic or regular use in the presence of comorbidities that predispose to acetaminophen-induced hepatic injury. This latter group includes chronic alcohol users, patients with dehydration, malnutrition, and those taking other potentially hepatotoxic agents (e.g., isoniazid, valproic acid). Patients with chronic toxicity typically present with abdominal pain, anorexia, nausea, vomiting or new onset of jaundice. Careful questioning about acetaminophen use in patients with unexpected transaminitis is important, particularly when the cause of the abnormalities is not clear. Early after acute acetaminophen ingestion, patients are asymptomatic or have mild nonspecific symptoms (e.g., nausea, vomiting, anorexia, malaise, and diaphoresis) ( Table 138.1 ). Liver injury becomes evident after a period of 8 to 36 hours as an elevation in aspartate transaminase (AST). Once liver injury has ensued, patients may develop right upper quadrant (RUQ) pain or tenderness, vomiting, and jaundice. AST concentrations continue to rise rapidly and usually peak in 2 to 4 days, corresponding to maximal liver injury. Alanine transferase (ALT), prothrombin time (PT), and bilirubin typically begin to rise and peak several hours after AST values. With severe toxicity, AST, ALT, and PT may all be elevated within 24 hours ( Fig. 138.2 ). With maximal liver injury, patients develop signs and symptoms consistent with fulminant liver failure, including metabolic acidosis, coagulopathy, and hepatic encephalopathy. Death may occur from hemorrhage, adult respiratory distress syndrome, sepsis, multiorgan failure, or cerebral edema. The risk of renal injury increases with the severity of hepatic injury (known as the hepatorenal syndrome), occurring in 1% to 2% of patients without hepatotoxicity and in 25% of patients with severe hepatotoxicity.
TABLE 138.1
Time Course and Clinical Stages of Acetaminophen Toxicity
| Stage | Time Course | Name | Symptoms | Signs |
|---|---|---|---|---|
| 1 | 0 to 12 (up to 24 to 36) hours | Preinjury | Nausea, vomiting, anorexia, malaise | Elevated serum acetaminophen concentration |
| 2 | 8 to 36 hours | Liver injury | Nausea, vomiting, RUQ abdominal tenderness | Aminotransferase elevation (AST begins to rise 8 to 36 hours after ingestion) |
| 3 | 2 to 4 days | Maximum liver injury | Liver failure (encephalopathy, coagulopathy, hemorrhage, acidosis) | Hemorrhage, ARDS, sepsis/SIRS, multiorgan failure, cerebral edema |
| 4 | >4 days | Recovery | None | Complete hepatic histologic recovery |
ARDS, Acute respiratory distress syndrome; AST, aspartate transaminase; RUQ, right upper quadrant; SIRS, systemic inflammatory response syndrome.
A typical time course of rise, peak, and fall of laboratory values in patients with acetaminophen-induced hepatic dysfunction who survive. Peaks are not proportional. Not all laboratory abnormalities occur in all patients, and significant individual variation may occur. ALT, Alanine transaminase; AST, aspartate transaminase; CR, creatinine; INR, international normalized ratio.
Copyright Robert G. Hendrickson, MD.
If hepatotoxic patients recover, aminotransferases return to baseline concentrations over a 5- to 7-day period (see Fig 138.2 ), although complete histologic resolution of liver injury may take months. Once histologic recovery is complete, there are no long-term sequelae to the liver and patients are not at risk for chronic hepatic dysfunction.
Differential Diagnoses
Until excluded, acetaminophen should be considered a co-ingestant in patients with intentional oral overdoses regardless of whether they state that they ingested acetaminophen. Other causes of injury in patients with elevations in aminotransferases, bilirubin, prothrombin time and international normalized ratio (PT/INR), or creatinine, include acute tubular necrosis, rhabdomyolysis, ischemic hepatitis, alcoholic hepatic disease, cyclopeptide-containing mushroom toxicity, viral hepatitis, and Wilson disease. Other hepatic toxins include valproic acid, isoniazid (INH), statins, herbal medications (such as chaparral and pennyroyal oil), vinyl chloride, and polychlorinated biphenyls.
Diagnostic Testing
The goals of patient assessment after acetaminophen ingestion are (1) the determination of the patient’s risk, (2) diagnostic testing, and (3) treatment with the antidote NAC when indicated.
We recommend serum acetaminophen testing for intentional ingestion patients, whether or not they report acetaminophen ingestion. Patients with a known acetaminophen exposure should have the following laboratory testing: serum acetaminophen concentration at four hours post-ingestion, serum salicylate concentration (since patients often confuse these over-the-counter analgesics), AST, ALT, bilirubin, PT/INR, bicarbonate (screening for metabolic acidosis), and creatinine (to assess renal function). If a patient has signs of liver injury (elevated AST or ALT), a venous blood gas and serum lactate should be measured. Acetaminophen exposures may be classified as acute or chronic, and each type requires different testing and risk assessment. An acute ingestion is defined as a single ingestion or a series of ingestions within an 8-hour period. All other ingestions, including accidental repeated supratherapeutic ingestions and intentional ingestions spread over longer than 8 hours, are considered to be chronic.
Risk Assessment With Acute Acetaminophen Ingestion
The initial diagnostic strategy of an acute ingestion is well-established. The first step is to determine the patient’s risk of developing acute liver injury. Patients who report an acute intentional ingestion of acetaminophen should have laboratory risk stratification regardless of the reported amount ingested, because history alone is not reliable. In an otherwise healthy adult patient, ingestions of less than 10 grams in total or 150 mg/kg (approximately thirty 325 mg [regular strength] or twenty 500 mg [extra strength] tablets for an 70 kg adult) in an acute ingestion will not cause significant liver toxicity. A serum acetaminophen concentration should be checked in all intentional overdose patients, regardless of whether they report taking it, unless it is certain that the patient could not have had access to acetaminophen. Acetaminophen has been detected in the serum of up to 8% to 10% of patients with intentional ingestions who deny acetaminophen ingestion. Also, there is a high prevalence of unrecognized acetaminophen toxicity among subjects presenting with indeterminate acute liver failure.
Once an acute acetaminophen overdose is identified, establish the time of ingestion as accurately as possible using all available information. If no accurate time of ingestion can be determined, it is best to assume the earliest possible time of ingestion or to begin NAC therapy empirically if the time of ingestion is indeterminate.
A serum acetaminophen concentration 4 hours post-ingestion, or as soon as possible after 4 hours, determines the need for antidotal therapy by plotting the serum acetaminophen concentration against the time since ingestion on the treatment nomogram ( Fig. 138.3 ). A serum acetaminophen concentration above the treatment line (that starts at 150 μg/mL at 4 hours and decreases to 4.7 μg/mL at 24 hours), indicates need for treatment with NAC. If the serum acetaminophen concentration is below the treatment line and the highest risk scenario has been assumed for the time of ingestion, then the patient requires no antidotal therapy. Use of the treatment line is indicated for otherwise healthy patients presenting after single acute ingestions. Alternative approaches in patients with alcohol use disorder, patients with co-ingestions of antimuscarinic agents, patients with unknown ingestion times, and after IV formulations have been suggested, but these are not supported by trial data. In a patient with an antimuscarinic (i.e., diphenhydramine) co-ingestion who has an elevated serum acetaminophen concentration at 4 hours that does not meet criteria for treatment, we recommend rechecking an acetaminophen concentration at 8 hours to ensure that appropriate clearance has occurred with no delayed absorption.
Treatment nomogram for acute overdose. The lower treatment line should be used for treatment decisions.
Modified from Rumack BH, Matthew H: Acetaminophen poisoning and toxicity. Pediatrics . 1975;55:871.
Measurement of serum acetaminophen concentration prior to 4 hours post-ingestion is not indicated. There is insufficient evidence to support claims that a serum acetaminophen concentration of less than 10 μg/mL between 1 and 4 hours excludes significant ingestion of acetaminophen. Absorption of acetaminophen may not be complete prior to 4 hours, and serum acetaminophen concentrations measured prior to 4 hours cannot be plotted on the treatment nomogram. There is no known benefit to administering NAC before the recommended 4 to 8-hour window after ingestion. Patients treated with NAC within 8 hours after ingestion, even after very large overdoses, have no increased risk of hepatotoxicity regardless of their serum acetaminophen concentration. For patients who have developed hepatotoxicity at presentation, those with preexisting liver disease, or those in whom a serum acetaminophen concentration cannot be obtained prior to 8 hours after ingestion, a loading dose of NAC is recommended along with consultation with a medical toxicologist or poison center. (See Box 138.1 listing indications for a medical toxicology consultation)
BOX 138.1
Indications for Medical Toxicology Consultation for Acetaminophen Toxicity
-
•
Patients who have developed hepatotoxicity at presentation
-
•
Patients with preexisting liver disease
-
•
Patients in whom a serum acetaminophen concentration cannot be obtained prior to 8 hours after ingestion
-
•
Patients with hepatotoxicity following a chronic acetaminophen ingestion where an acetaminophen concentration cannot be plotted on the treatment nomogram.
-
•
Patients with massive ingestions (serum acetaminophen concentrations >900 mcg/mL)
-
•
Patients with metabolic acidosis, hepatorenal syndrome, or hepatic encephalopathy
Risk Assessment With Chronic Ingestion
With repeated or chronic exposure, risk assessment is more complex, and the treatment nomogram cannot be used. Determination of the need for NAC is based on assessment of the risk for hepatotoxicity and measurement of serum concentrations of acetaminophen and AST.
The risk of hepatotoxicity from chronic ingestion of acetaminophen increases with total dose of acetaminophen and the duration over which it has been ingested in supratherapeutic quantities. Laboratory testing for serum acetaminophen concentration and AST should be initiated in any patient who fits the criteria outlined in Table 138.2 .
TABLE 138.2
Indications for Initiating Testing for Serum Acetaminophen Concentration and Aspartate Transaminase in Chronic Acetaminophen Ingestions
| Age ≥6 years old; | Ingestion of >10 g/d (or >200 mg/kg/d) (whichever is smaller) over a 24-hour period |
|---|---|
| or | Ingestion of >6 g/d (or >150 mg/kg/d) (whichever is smaller) over a 48-hour period or longer |
| or | Symptomatic (e.g., RUQ pain/tenderness, jaundice, vomiting) |
| Children <6 years old; | Ingestion of >200 mg/kg/d over a 24-hour period |
| or | Ingestion of >150 mg/kg/d over a 48-hour period |
| or | Ingestion of >100 mg/kg/d over a 72-hour or longer period |
| or | Symptomatic (eg, RUQ pain/tenderness, jaundice, vomiting) |
Full access? Get Clinical Tree




